星空电竞app官方下载入口致力于星空游戏官方地址,传明酸,粉末涂料固化剂,TPO星空彩票幸运彩版,热固化剂,光固化剂,芳香酸等产品
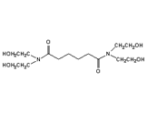
化学名称:Bis(N,N’-di-ethylhydroxy)adipoyl amide
中文名称:四羟乙基己二酰二胺
CAS No.:6334-25-4
分 子 式:C14H28N2O6
分 子 量:320.38
结 构 式:

1. 无毒性
2. 效率高
羟烷基酰胺-552 CAS :6334-25-4是一种用于热塑性固体粉体涂料的交联固化剂。该产品为低毒性,对眼睛及皮肤无刺激,被视为绿色环保产品。作为环保型涂料,是涂料中较新,且快速发展的一个分支。
| 指标名称 | 单位 | 含量 |
熔点 | [°C] | 120-126 |
干燥失重 | [%] | ≤0.5 |
0H值 | mgKOH/g | 600-725 |
化学名称 | 四羟乙基己二酰二胺 |
外观 | 白色粉末 |
保存期限(保存于干燥地方, 温度为 0-30℃) | 交货日起 12 个月 |
测试项目 | 测试方法 | 数值 |
抗弯强度 | ISO1519 | ≤ 2.0 |
铅笔硬度 | ASTMD3363 | ≥ H |
冲击强度 | ISO6272 | 50 |
60℃ 光泽度 | GB/T9754 | ≥ 90 |
| 加速老化 (800 hrs) | GB/T186 | ≤ 5.0% |
| 涂膜厚度 (mm) | —— | 50-100 |
应用范围包括:建筑工业、户外家具、家电行业、电子产品、船舶防腐及汽车行业。
1. 树酯: P855, P865 of DSM,CC7630, CC7618, CCE37498 of Cytec, etc.
2. 数量: 4-6%.
3. 固化条件:180℃/15min or190℃/10-12min.
4. 建议配方:
Content | Wt(%) |
树酯(CC7630 of Cytec) | 95.0 |
固化剂 (Aplus 552) | 5.0 |
流平剂 | 1.5 |
消泡剂 | 0.5-1.0 |
钛白粉 | 20-50 |
使用注意事项
1、与聚酯树脂的匹配问题
由于RT-52的反应活性较快,不宜采用传统的TGIC固化型聚酯,而要选用RT-52专用聚酯。
2、涂膜针孔及耐黄变问题
RT-52 在与聚酯固化反应时,有水分子产生,涂膜表面易产生针孔等弊病,普通聚酯不适宜100μm以上的厚涂;另外在配方中加入0.5%左右的脱气剂,可以达到抑制涂膜针孔的效果。考虑到安息香对涂膜泛黄性的影响,它的用量控制在成膜物总量的0.3%左右,尽量降低使用量,在生产白色或浅色粉末时,配方中加入0.5%左右的抗氧剂,可提高涂膜的耐黄变性能。
3、粉末吸潮上粉问题
由于RT-52是一种亲水性化合物,储存及制备的粉末涂料储存时,应注意防水、防潮。粉末吸潮后上粉不佳,涂膜附着力差。
RT-PO CAS :75980-60-8是一种高效的裂解型自由基星空彩票幸运彩版......
星空游戏官方地址 CAS :554-95-0是一种重要的化工原料......
羟烷基酰胺-552 CAS :6334-25-4是一种用于热塑性固体粉体涂料的交联固化剂......